Sample Letter Opposing Zoning Change

Collection of Sample Letters and tasty.

Sample Letter Opposing Zoning Change. Constituent letters that oppose specific legislation are powerful means of urging politicians to change their mind. Writing sample memo to opposing counsel with rhetorical analysis included.

what are the leadership issues on this case? 10-104 Rev ...
what are the leadership issues on this case? 10-104 Rev ... (Georgia Maldonado)
Take the time to speak with. Sign the letter and read your letter keenly before forwarding it. Constituent letters that oppose specific legislation are powerful means of urging politicians to change their mind.

Use our sample parking ticket appeal letter as a template for your parking appeal letter.

This letter is made to inform you that I will be changing my address and I am moving to a new residence on [Date].

Hillcrest Residence Community against proposed zoning changes

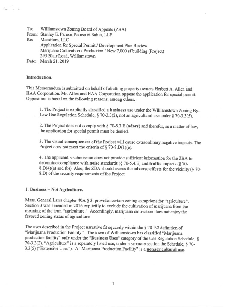
Memorandum Submitted to ZBA re: MassFlora Special Permit

Sumner County Commission Approves Zoning Change to ...

School Board Wades into Attendance Zone Changes for Dulles ...

ACLU Letter RE: Toledo City Council Ordinance - Greater ...

Zoning Change Allowing Redevelopment of Older Resort ...

CEASE AND DESIST DEMAND AGAINST SURFSIDE | Who controls ...

Manteo hotel plan uncertain - The Coastland Times | The ...

Blowing Rock council rejects zoning changes amid public ...

You should start your letter by addressing your boss or the higher authority in the organization. Nothing has changed and our party will certainly be opposing any attempts at wriggling out of their duties. Regardless of the reasons or circumstances, resignation will always be a turning point because it represents a change in our lives.